知否科技
知无知,才有知
主页
请帖模板
知识中心
课后习题答案
文档资料
小说名著
每日一文
习题章节
真题试卷
简历模板
关于我们
联系我们
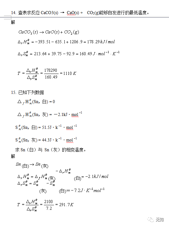
第6章 化学热力学初步
无机化学(第三版)(上/下册)
武汉大学、吉林大学 、曹锡章、宋天佑等 主编 / 高等教育出版社
AI先森 上传
查看本书
第6章 化学热力学初步
查看更多