知否科技
知无知,才有知
主页
请帖模板
知识中心
课后习题答案
文档资料
小说名著
每日一文
习题章节
真题试卷
简历模板
关于我们
联系我们
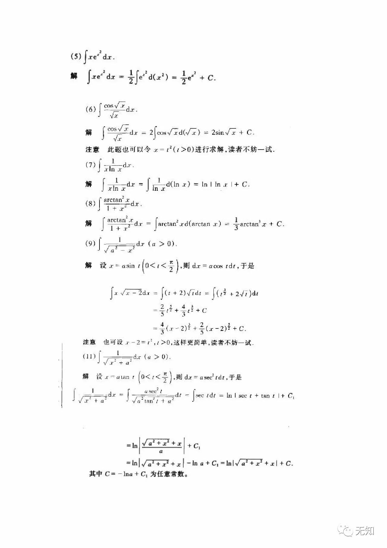
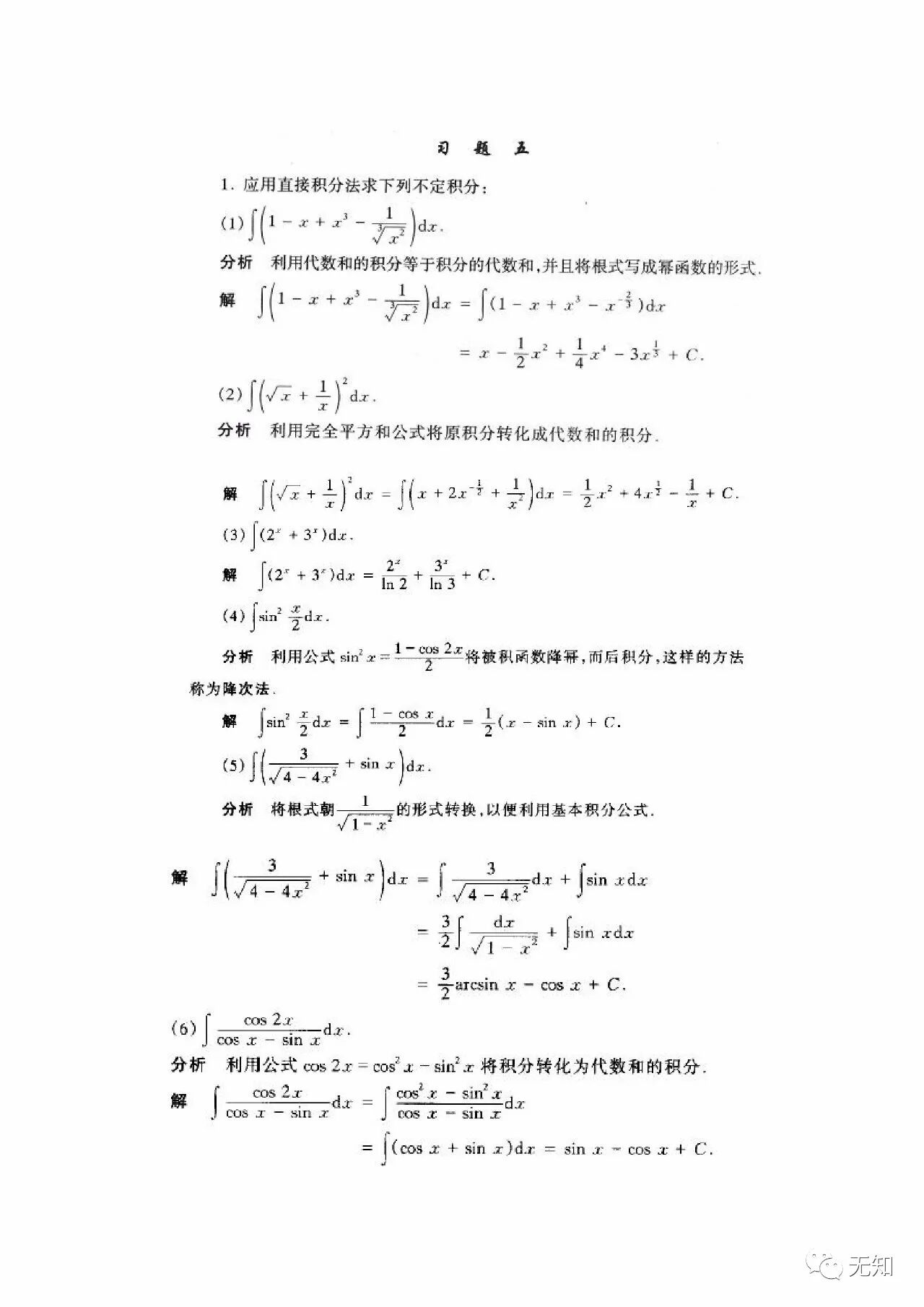
第五章 微分的逆运算问题——不定积分
大学文科数学(第二版)
张国楚 徐要顺 王立冬 李祎 编 / 高等教育出版社
柒下木 上传
查看本书
第五章 微分的逆运算问题——不定积分
查看更多