知否科技
知无知,才有知
主页
请帖模板
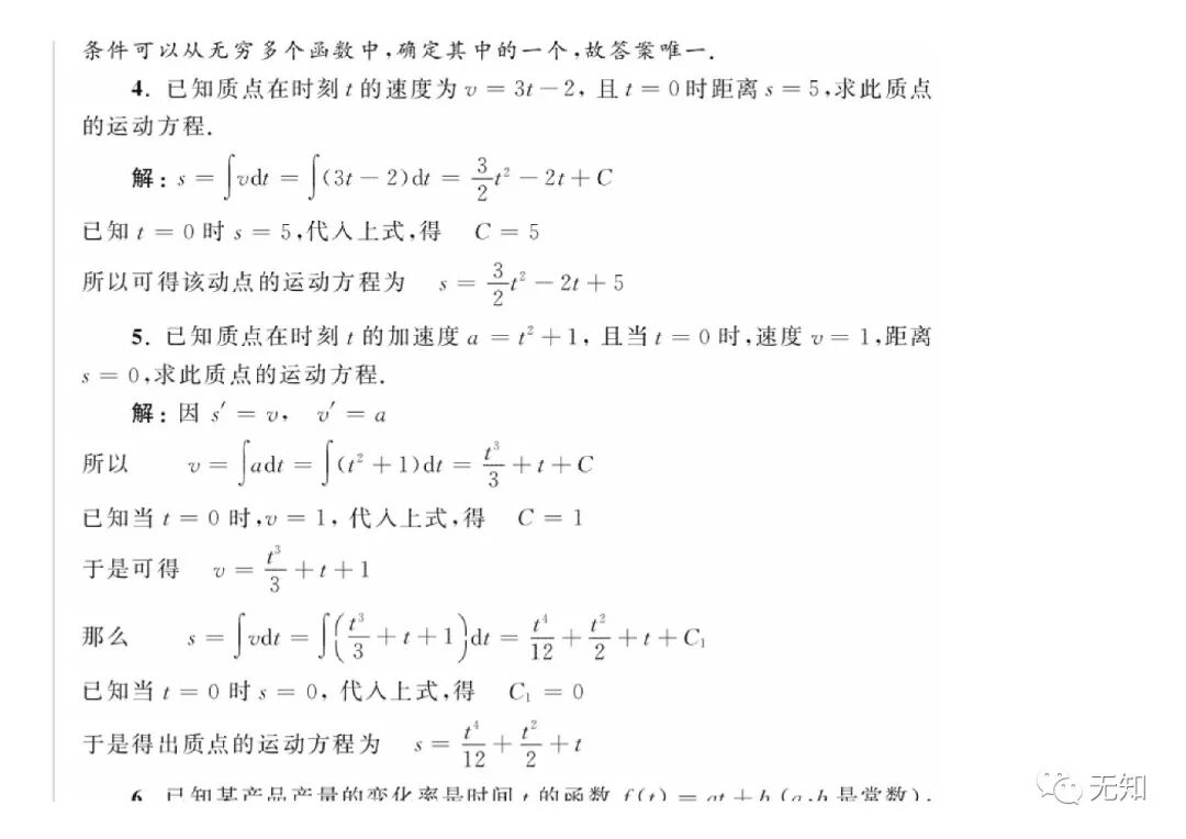
知识中心
课后习题答案
文档资料
小说名著
每日一文
习题章节
真题试卷
简历模板
关于我们
联系我们
第五章 不定积分
微积分(第四版) 经济应用数学基础(一)
赵树嫄 著 / 中国人民大学出版社
傻猪 上传
查看本书
第五章 不定积分
查看更多