知否科技
知无知,才有知
主页
请帖模板
知识中心
课后习题答案
文档资料
小说名著
每日一文
习题章节
真题试卷
简历模板
关于我们
联系我们
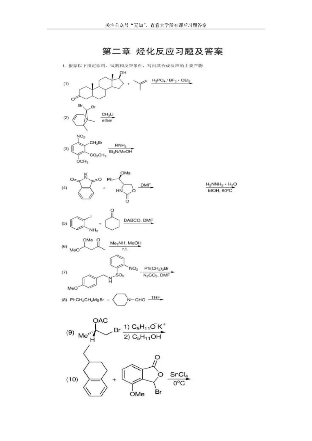
第二章 烃化反应(AlkylationReaction)
药物合成反应(第3版)
闻韧 主编 / 化学工业出版社
咕嘟嘟 上传
查看本书
第二章 烃化反应(AlkylationReaction)
查看更多