知否科技
知无知,才有知
主页
请帖模板
知识中心
课后习题答案
文档资料
小说名著
每日一文
习题章节
真题试卷
简历模板
关于我们
联系我们
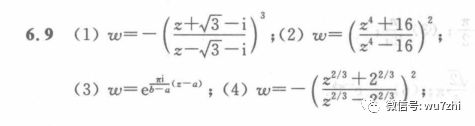
第六章 共形映射
复变函数与积分变换(第三版)
李红,谢松法;华中科技大学教学系 / 高等教育出版社
子衿 上传
查看本书
第六章 共形映射
查看更多