知否科技
知无知,才有知
主页
请帖模板
知识中心
课后习题答案
文档资料
小说名著
每日一文
习题章节
真题试卷
简历模板
关于我们
联系我们
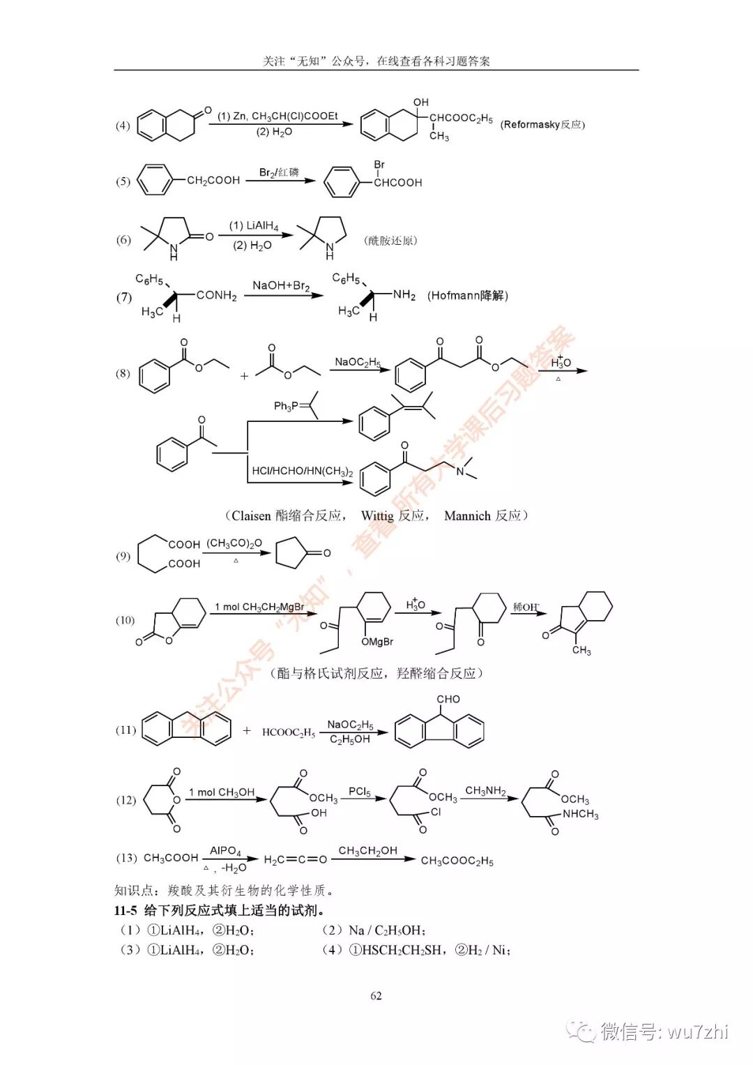
第11章 羧酸及其衍生物
有机化学 第二版
高占先 著 / 高等教育出版社
子綦 上传
查看本书
第11章 羧酸及其衍生物
查看更多