知否科技
知无知,才有知
主页
请帖模板
知识中心
课后习题答案
文档资料
小说名著
每日一文
习题章节
真题试卷
简历模板
关于我们
联系我们
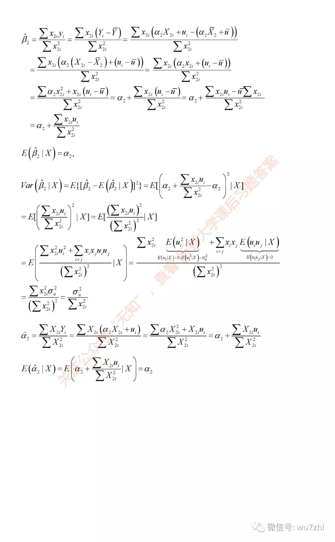
第九章 设定误差与测量误差
计量经济学(第三版)
庞皓 主编 / 科学出版社
刺ۣۖิ猬ۣۖิ的ۣۖิ刺ۣ 上传
查看本书
第九章 设定误差与测量误差
查看更多