知否科技
知无知,才有知
主页
请帖模板
知识中心
课后习题答案
文档资料
小说名著
每日一文
习题章节
真题试卷
简历模板
关于我们
联系我们
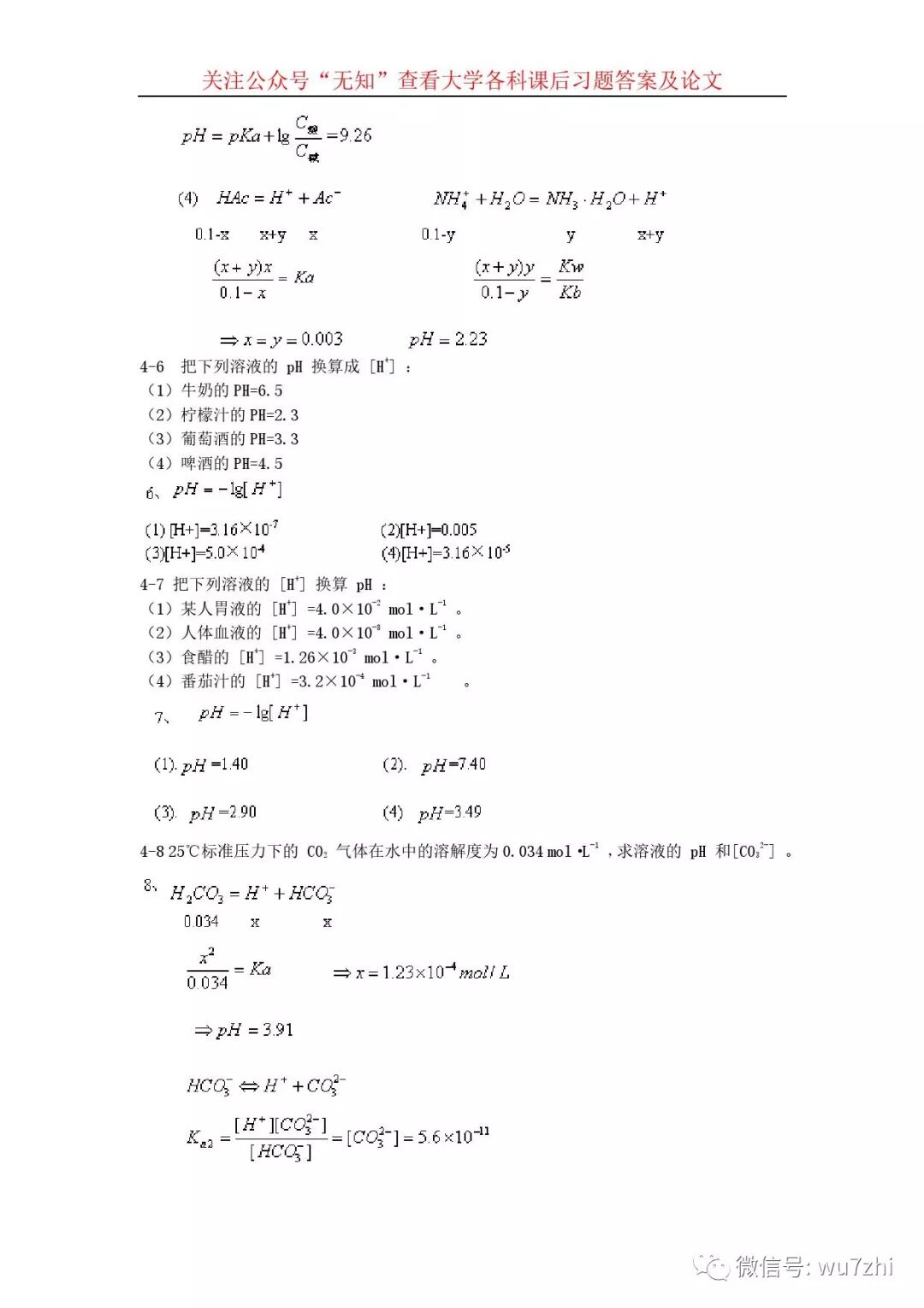
第9章 酸碱平衡
无机化学(上册 第4版)
北京师范大学,华中师范大学,无机化学研究室,南京师范大学 编 / 高等教育出版社
张想珍 上传
查看本书
第9章 酸碱平衡
查看更多