知否科技
知无知,才有知
主页
请帖模板
知识中心
课后习题答案
文档资料
小说名著
每日一文
习题章节
真题试卷
简历模板
关于我们
联系我们
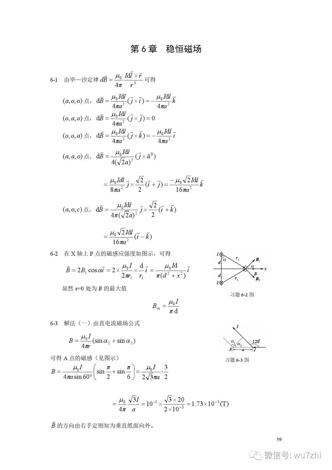
第6章 稳恒磁场
大学物理(第2版)上下册
罗益民 余燕 / 北京邮电大学出版社
糖果狼 上传
查看本书
第6章 稳恒磁场
查看更多