知否科技
知无知,才有知
主页
请帖模板
知识中心
课后习题答案
文档资料
小说名著
每日一文
习题章节
真题试卷
简历模板
关于我们
联系我们
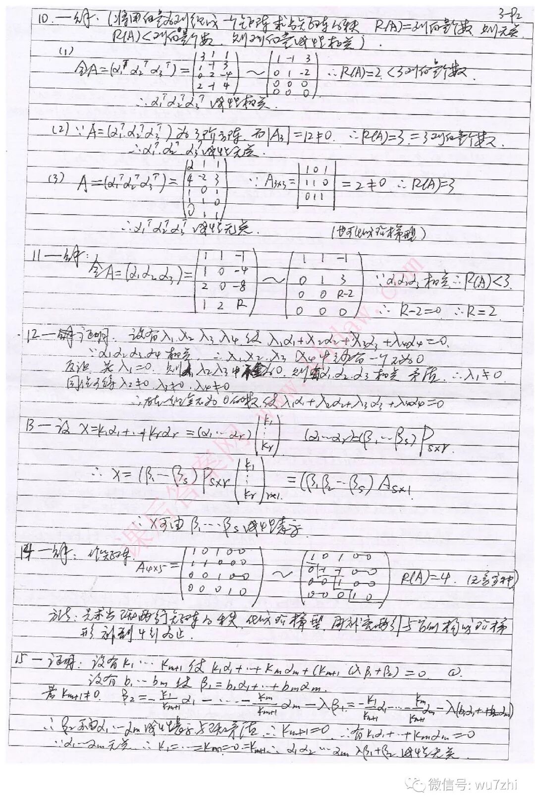
第三章 向量组的线性相关性
线性代数
周勇 朱砾 / 复旦大学出版社
真好 上传
查看本书
第三章 向量组的线性相关性
查看更多