知否科技
知无知,才有知
主页
请帖模板
知识中心
课后习题答案
文档资料
小说名著
每日一文
习题章节
真题试卷
简历模板
关于我们
联系我们
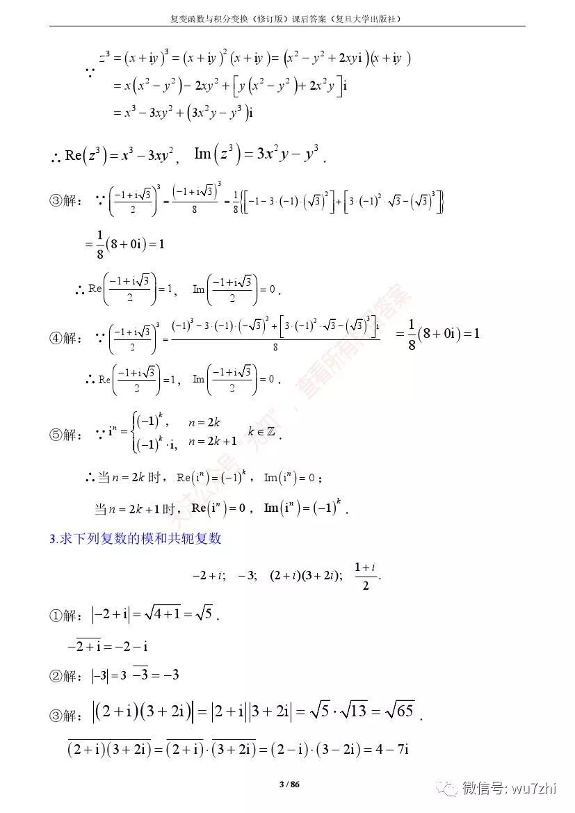
第一章 复数和复平面
复变函数与积分变换 (修改版)
马柏林 李丹衡 晏华辉 主编 / 复旦大学出版社
(๑• . •๑) 上传
查看本书
书名:复变函数与积分变换 (修改版)
作者:马柏林 李丹衡 晏华辉 主编
出版社:复旦大学出版社
第一章 复数和复平面
查看更多